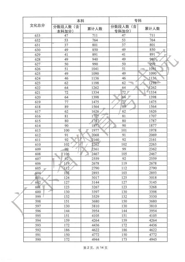
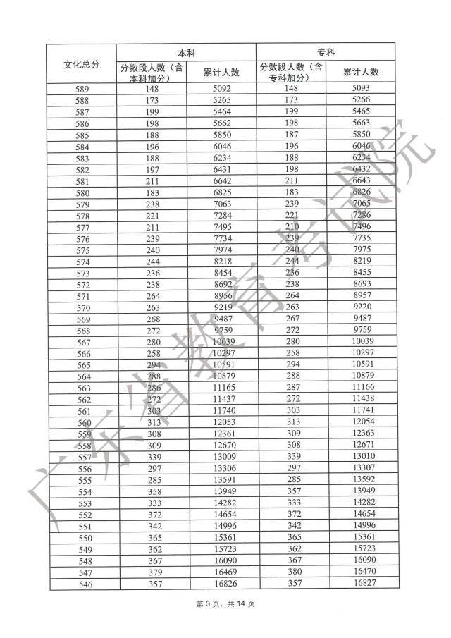
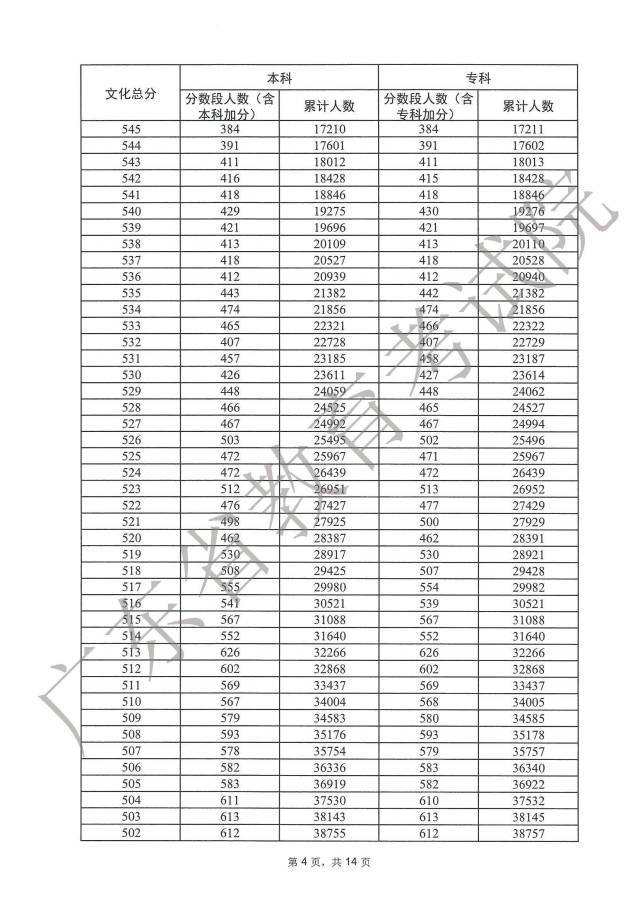
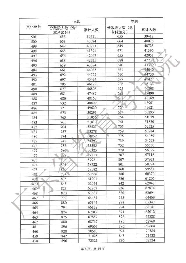
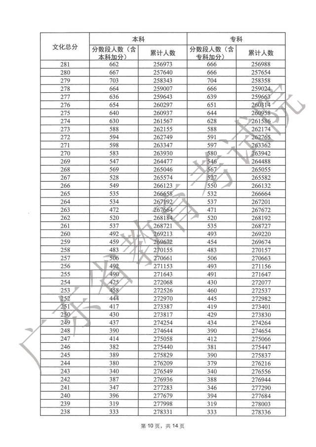
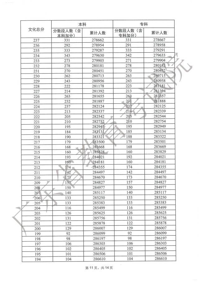
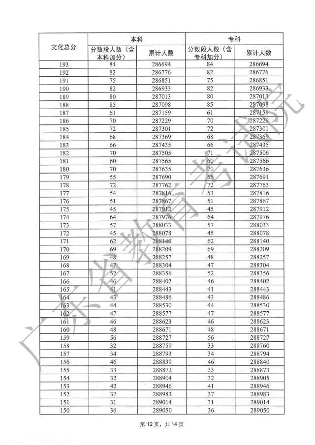
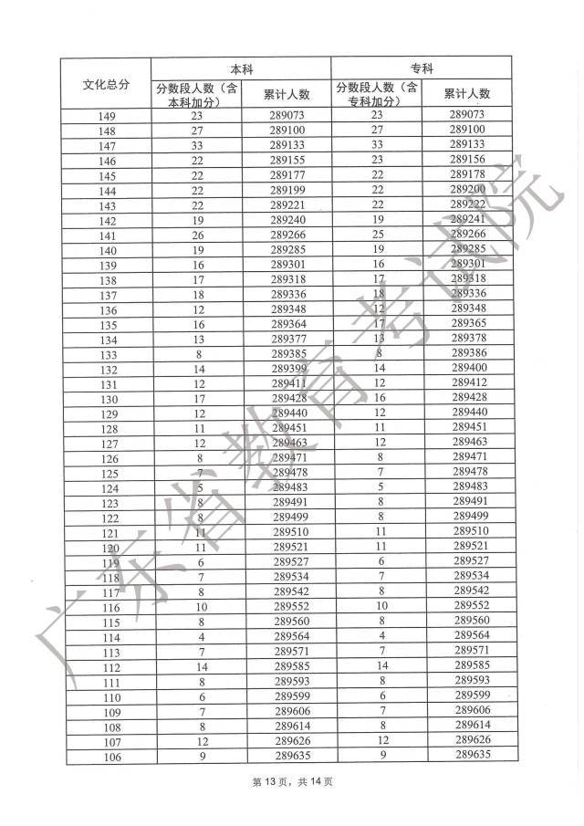
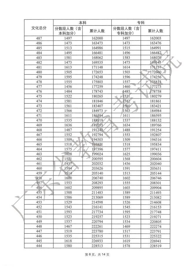
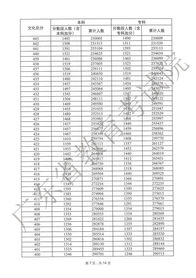
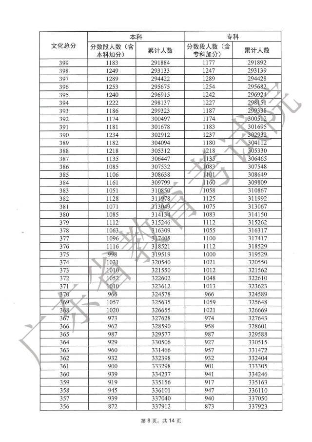
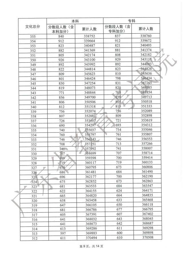
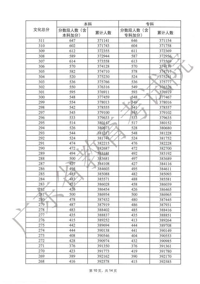
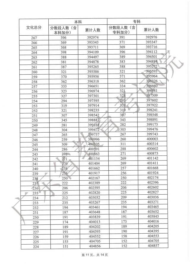
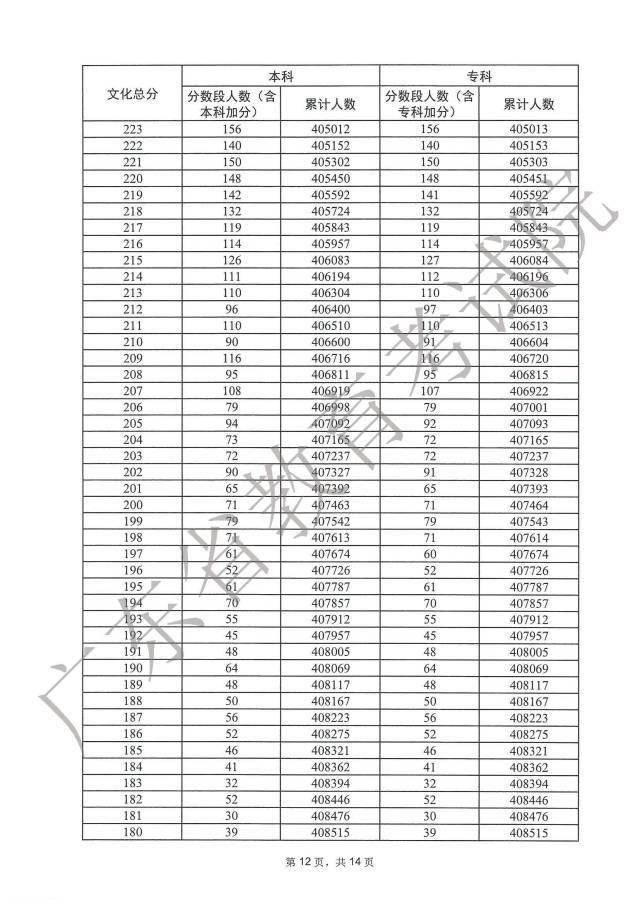
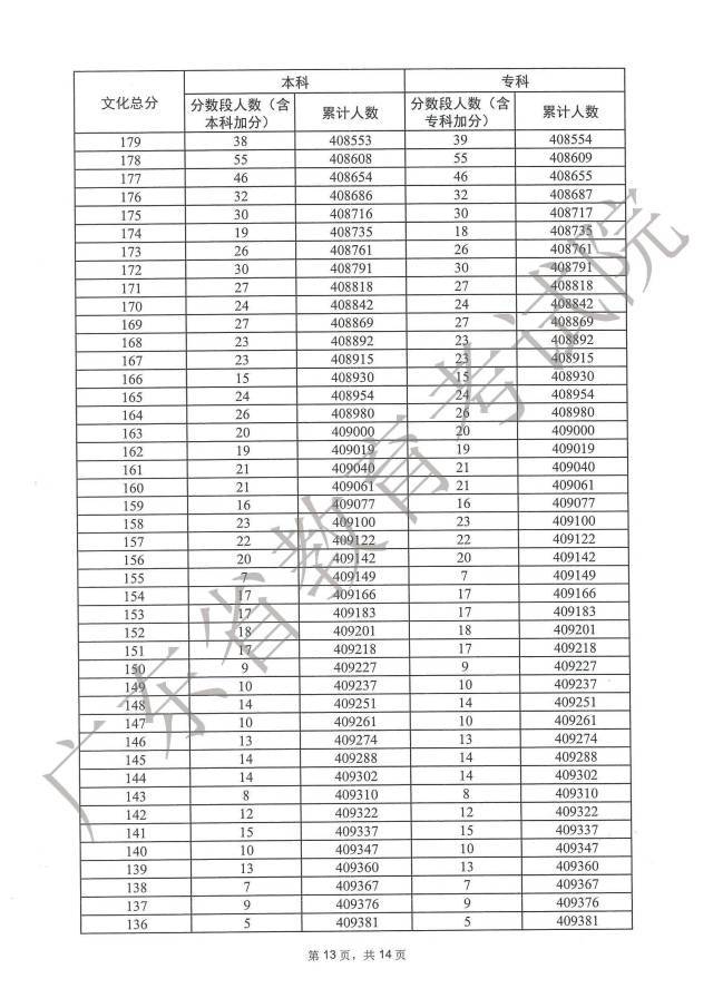
广东2023高考一分一段表
广东省教育考试院公布了2023年高考一分一段表,今年的高分比较多!下面是小编给大家整理的广东2023高考一分一段表(文史+物理),欢迎大家来阅读。
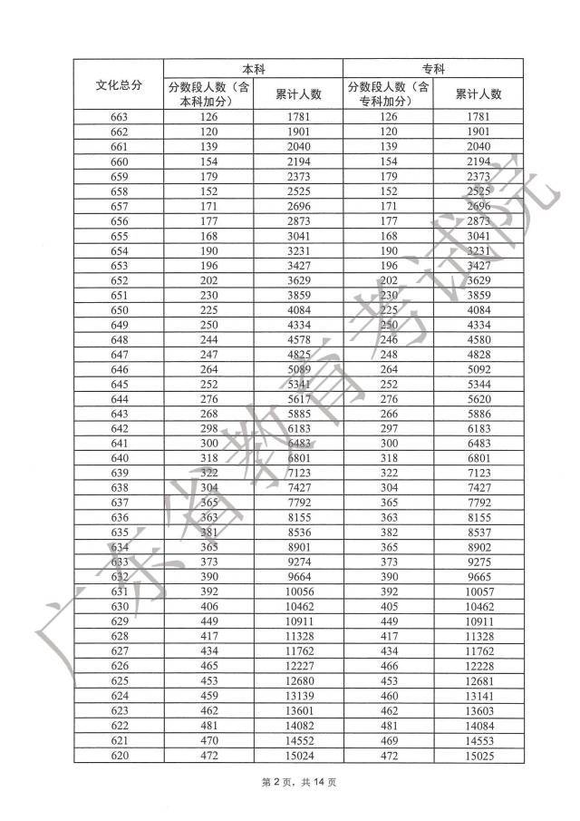
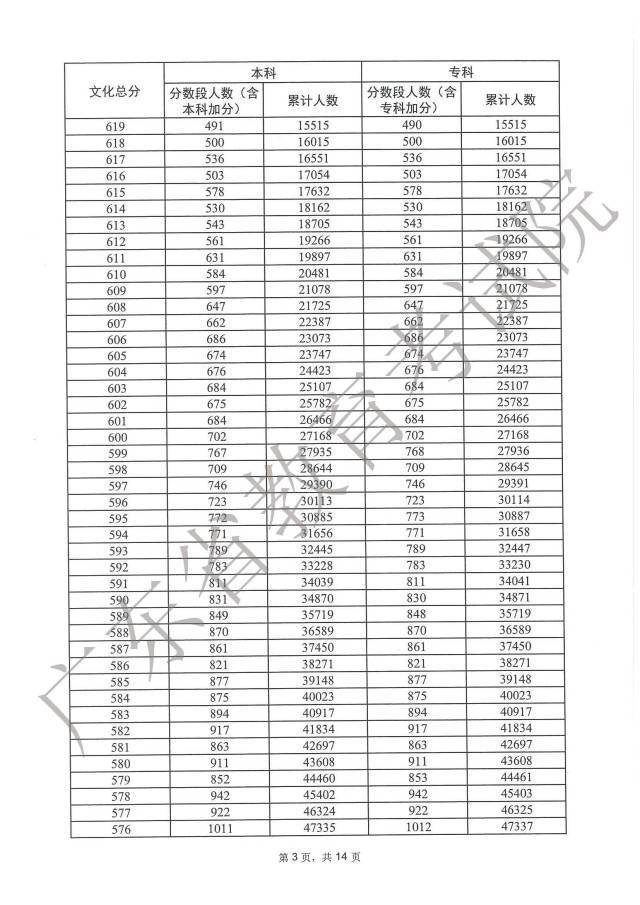
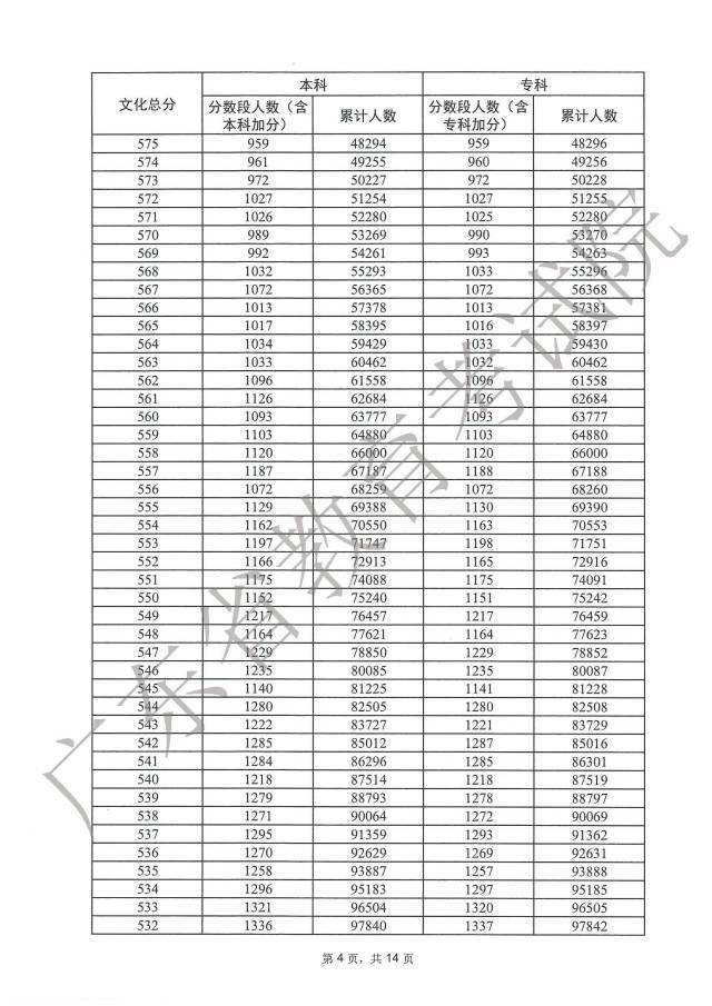
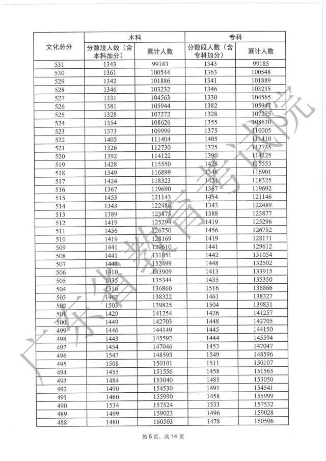
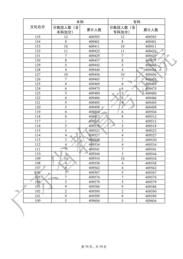
广东2023高考一分一段表
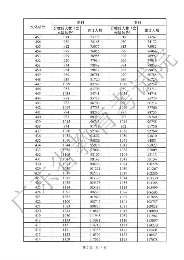
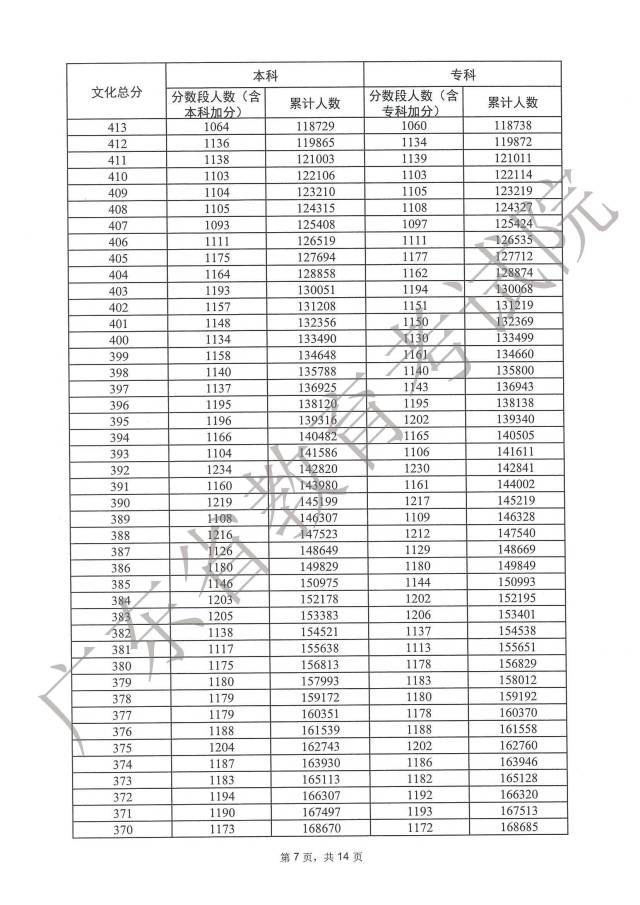
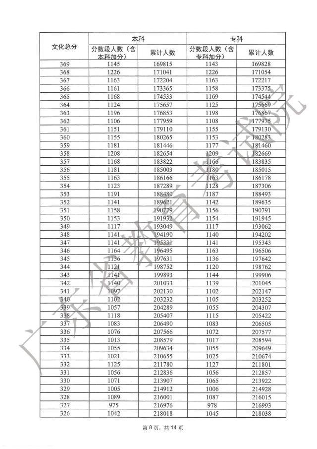
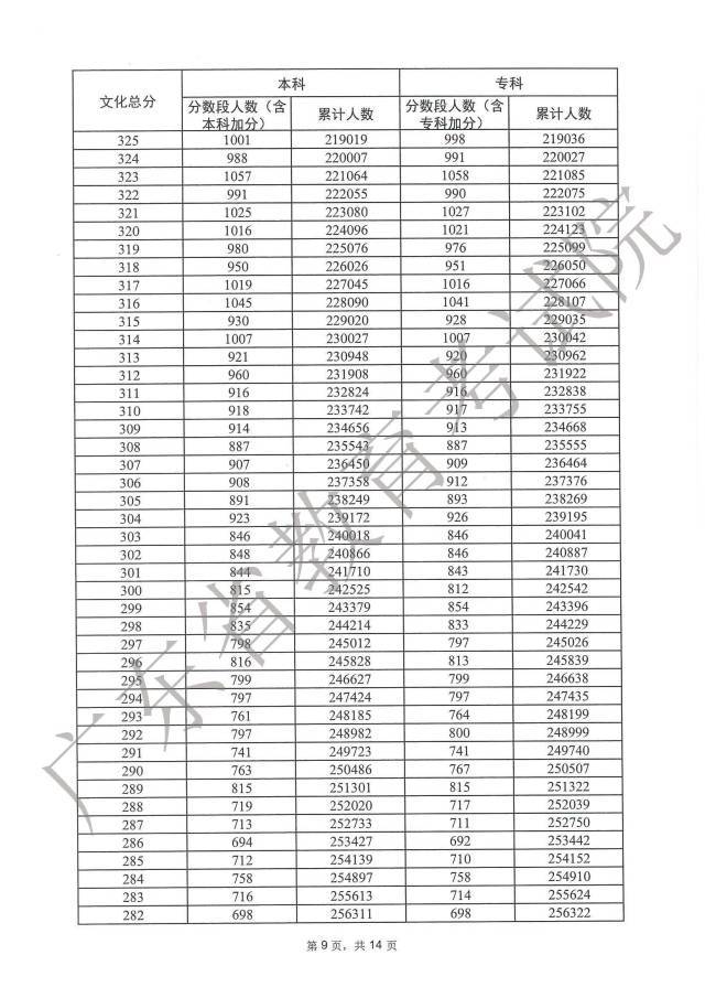
文史














物理














高考填报志愿流程
(一)登录指定网页。网上填报志愿要在省招办指定的网上进行,登录指定网页,打开浏览器,输入网报网址。指定网页一般会印制在准考证上面,或者打省招办办公定电话咨询。
(二)输入用户名和密码。用户名是考生准考证上的14位报名号数字,第一次登录网上报名系统的初始密码是身份证号码,输入用户名和密码后即可登录网上报名系统。
(三)阅读考生须知。进入网上填报志愿系统后,计算机屏幕上会出现“网上填报志愿考生须知”,告知考生网上填报志愿的流程和注意事项。考生应仔细阅读,了解操作流程和相关要求以后再进行下一步的操作,为了保持志愿填报的正确地误,考生须知一定要详细阅读,这点很重要。
(四).修改初始密码。考生在第一次登录网上填报志愿系统时,一定要修改初始密码,如果不修改,就会自动返回到上一步,无法继续往下操作。点击“修改”按钮,就可以修改密码和填写录取用联系方式。成功修改密码后,再开始填报志愿。(修改的密码一定要牢记,最好是平常用的,录取联系方式一定要写正确,要是经常可以联系到你的,保持不会停机)
(五)选择批次填报志愿。先在网页上点击“填报志愿”按钮,先选择要填报的批次,然后根据提前草拟的志愿表填报院校代码和所选专业代码到志愿栏,千万不要错栏错位。仔细严格按照流程来操作。
(六)检查核对。院校代号和专业代号输入完毕后,点击“下一步”按钮,网上填报志愿系统将已填的代号转换成相对应的院校和专业,屏幕上会显示已填报的院校名称和专业名称。这时候,考生要阅读屏幕上的提示信息,仔细核实显示的学校和专业是不是自己想要填报的,如果不是,或出现红色字体提示的“无效院校”或“无效专业”就说明填错了代号,一定要按正确的代号更正,要不然就张冠李戴了。如果要修改或补填志愿,可以点击“上一步”按钮,返回到填报界面进行修改或补填。(这是高考网上填报志愿非常重要的步骤之一)
(七)保存志愿信息。检查志愿信息无误后,点击“保存”按钮,只有点击了“保存”按钮,填报的志愿信息才会储存到网报系统中;不点击的话,志愿信息就保存不了,等于没有填报志愿。填好每一个批次的志愿后,都要点击“保存”按钮,保存这个批次的志愿信息。保存好以后,再从第五步开始填报其他批次志愿。
(八)查询志愿、退出填报志愿系统。把需要填报的各批次志愿全部填报完毕后,先点击“安全退出”按钮退出填报志愿系统,再重新登陆填报志愿系统,点击“查询志愿”按钮,全面查看各批次志愿填报情况,检查各批次、院校、专业志愿是否完整准确,是否存在无效院校志愿或无效专业志愿。如果没有问题了,点击“安全退出”按钮,退出网上填报志愿系统,关闭填报志愿的浏览器页面。志愿填报完成。

高考志愿填报的方法
第一步:分析高考志愿所填报大学连续三年的录取数据。
高考志愿要填报某一所大学院校,至少得分析这所大学连续三年的录取数据。因为,由于种种因素,同一所大学院校,每一年的录取分,是有波动的,有时低,有时高,这些,都得在大数据的范围内精确分析,然后,再与自己的分数进行对比、参照。
第二步:进行位次计算,得到差值。
在这里,有两个概念要清楚,一个是绝对分数,一个是相对分数。绝对分数,是指没有与相应批次省控线进行比较的分数。而相对分数,则是用想填报大学和专业往年的录取分数线减去相应年份、相应批次省控线得到的录取分差。
第三步:确定学校和专业。
最后,要注意平行志愿的填写,多关注一下位次和分数,然后以自己预测的录取率高低,依次进行排序,再行填报。
高考志愿填报专业注意事项
1. 理性看待热门专业
对于当前社会上所谓的热门职业或热门专业,建议考生要用长远的眼光去看待。
首先,热门职业或热门专业有周期性变化,随着经济社会的发展,当下热门职业并不代表未来一定更有优势;其次,热门代表选择的人很多,竞争激烈,要在同行中取得优势,则对能力和综合素养提出了更高要求;最后,职业的外在价值如果和考生的内在兴趣不一致,即便再光鲜的职业也无法让考生专注其中,很可能会导致未来转行。所以热门专业仅仅具备一定的参考意义。
因此,考生如果想要选择当下所谓的热门职业或热门专业,一定要明确“三个一致”:第一,要学会判断该专业当下就业趋势和未来就业趋势是否一致;第二,专业提出的高要求和自己的能力是否一致;第三,专业的核心课程、实习等内容和自己的兴趣是否一致。
2. 尽量服从专业调剂
目前,无论是高水平的综合性大学,还是学科优势明显的行业特色型高校,学生入学后一般都会有相对宽松的包括选修课程、基地班选拔、转专业、双学位、跨专业考取研究生等二次甚至多次更换专业的机会。
同时,在人生求学和成长过程中,兴趣可能也会不断发生改变,社会对各专业的需求情况也会不断发生变化,在高考填报志愿时一定要以发展的眼光看待专业选择的问题。
因此,建议考生,除非属于特别特殊的情况,尽量服从专业调剂。
高考志愿填报选什么专业比较好
网络工程专业:这个专业主要培养的是从事网络运营、维护、管理及开发设计应用等人才。专业就业方向很多,不少工作都很适应,普遍来说就业率挺高的,志愿填报这个专业找工作问题不大。
计算机科学与技术专业:这个专业算是万金油专业了。专业竞争力很强,甚至转行也很容易。很多专业性不是很强的岗位都比较青睐计算机专业的毕业生,所以志愿填报这个专业也是非常不错的。
软件工程专业:虽然这个专业有一定难度,但是专业的回报率挺高的。很适合填报志愿很迷茫的理科男生,至少这个专业学好了拿高薪比较容易。不过软件工程后期的学费比较贵,家境不好的学生需要考虑一下。
信息工程专业:信息工程毕业生的就业方向很多,能够在银行、金融、证券以及通信领域找的不错的工作,发展方向还是挺广的。大家在填报志愿的时候,可以考虑一下这个专业。
